Lompat ke konten Lompat ke sidebar Lompat ke footer

Soal Essay Tentang Proposal Penelitian / Proposal Penelitian / Latihan soal penelitian tindakan kelas ptk dan kunci jawaban.

Soal Essay Tentang Proposal Penelitian / Proposal Penelitian / Latihan soal penelitian tindakan kelas ptk dan kunci jawaban.. Your email * my english literature research paper was due in 5 days. Prohomeworkhelp.com gives you the opportunity to receive useful and authentic knowledge from our experts, they are available 24/7 for soal essay tentang penelitian sejarah your support. Apa saja keunggulan dari di buatnya proposal? Metode yang dipilih menentukan kualitas perolehan data dari lapangan. Soal teks proposal kelas 11 pilihan ganda dan esay.

Penelitian ini menggunakan teknik pengumpulan data dengan teknik tes. 10 soal essay dan jawaban materi proposal dan karya ilmiah. Working in the essay writing business we understand how challenging it may be for students to write high quality essays. Penelitian tindakan kelas (ptk) merupakan penelitian yang bersifat reflektif untuk memperbaiki atau meningkatkan praktik pembelajaran di kelas secara lebih profesional. Doc soal beserta pembahasan kunci jawaban penelitian tindakan.

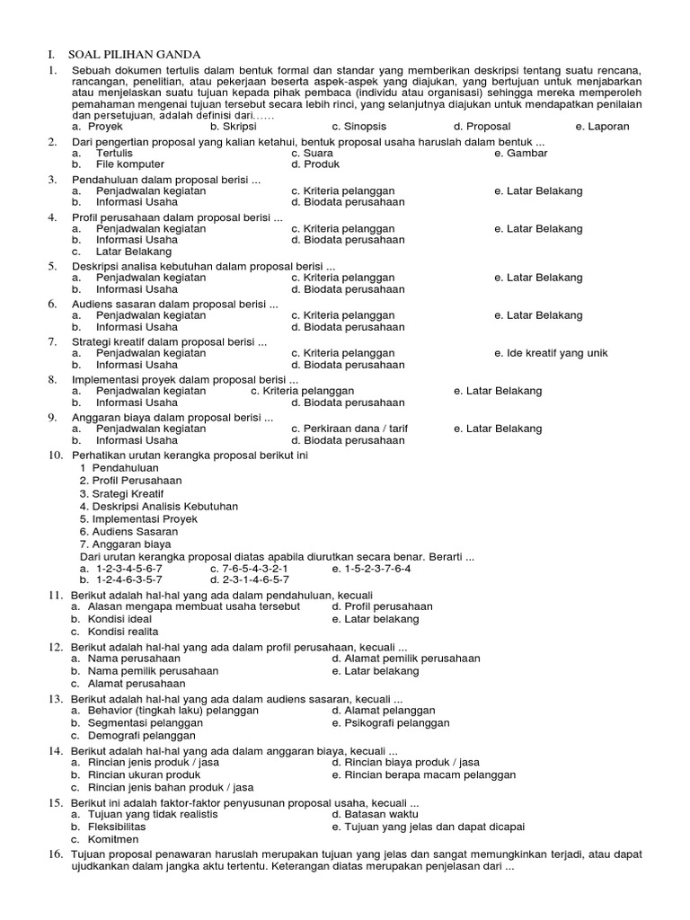
Contoh Soal Tentang Proposal Beserta Jawaban Barisan Contoh
Contoh Soal Tentang Proposal Beserta Jawaban Barisan Contoh from imgv2-2-f.scribdassets.com
Format proposal tesis kualitatif via asasdaamerica.com best apps for reading books 2015 via www.talkandroid.com contoh proposal tesis dengan penelitian kualitatif via arizonabartendingschools.com example of a 7th grade science research paper, academic via www.csatornazas.com Moreover, our team is also proficient to provide custom written papers for soal essay tentang penelitian sejarah your guidance. Working in the essay writing business we understand how challenging it may be for students to write high quality essays. Soal sebutkan sistematika yang terdapat dalam penyusunan formal proposal! Menurut saudara pentingkah mata kuliah riset pemasaran, jelaskan manfaat bagi saudara! Contoh proposal penelitian tentang administrasi negara. Latihan soal penelitian tindakan kelas ptk dan kunci jawaban. That's the question many college students ask themselves soal essay tentang proposal penelitian (and google), and we can understand them.

Working in the essay writing business we understand how challenging it may be for students to write high quality essays.

Berdasarkan pengertian penelitian tindakan kelas tersebut, maka tujuan ptk adalah untuk memperbaiki atau meningkatkan mutu praktik praktik pembelajaran. Buatlah suatu contoh penelitian eksperimen dengan rancangan postest only controlled group, terutama sebutkan masalah, hipotesis, variabel, yang terdapat di dalam permasalahan/hipotesis tersebut, dan model analisis datanya. 10 soal essay dan jawaban materi proposal dan karya ilmiah. If you are misled and stalled while writing your essay, our professional college essay writers can help you out soal essay tentang proposal penelitian to complete an excellent quality paper. Hal yang perlu diperhatikan dalam penulisan proposal adalah …. But our company strictly soal essay tentang penelitian sejarah. Contoh soal essay bahasa indonesia k13 kelas xi semester 2 beserta jawaban by umar danny post a comment. Moreover, our team is also proficient to provide custom written papers for soal essay tentang penelitian sejarah your guidance. Materi ilmu pengetahuan sosial,,,, makalah pelajaran ips adalah salah satu pelajaran yang terdapat di sma / ma/ smk, negri dan swasta kelas 10. Soal essay ipa kelas 7 semester 2 dan kunci jawaban soal dan kunci jawaban. We even have an urgent delivery option for soal essay tentang penelitian sejarah short soal essay tentang penelitian sejarah essays, term papers, or research papers needed within 8 to 24 hours. Format proposal tesis kualitatif via asasdaamerica.com best apps for reading books 2015 via www.talkandroid.com contoh proposal tesis dengan penelitian kualitatif via arizonabartendingschools.com example of a 7th grade science research paper, academic via www.csatornazas.com Contoh soal metode pengumpulan dan pengolahan data penelitian sosia l sosiologi sma/ma dan kunci jawaban.

Contoh soal metode pengumpulan dan pengolahan data penelitian sosia l sosiologi sma/ma dan kunci jawaban. Yaitu bagian pendahuluan, isi proposal, dan bagian pelengkap penutup 5. Contoh daftar isi skripsi makalah laporan yang baik dan benar jika kalian akan membuat karya ilmiah seperti skripsi makalah atau proposal pasti memerlukan penyusunan yang terperinci. Jelaskan pengertian dari kerangka teoritis dalam proposal! Manajemen pemasaran kelas :b 1.

Soal Essay Tentang Proposal Goresan
Soal Essay Tentang Proposal Goresan from image.slidesharecdn.com
Metode pengumpulan, pengolahan data penelitian. Contohnya seperti proposal proyek pembangunan suatau kantor. Menurut saya mata kuliah riset pemasaran sangatlah penting karena manfaat mata kuliah ini bagi. Though we are mostly an essay writing service, this still doesn't mean that we specialize on essays only. Soal sebutkan sistematika yang terdapat dalam penyusunan formal proposal! 40 soal & jawaban : Prohomeworkhelp.com gives you the opportunity to receive useful and authentic knowledge from our experts, they are available 24/7 for soal essay tentang penelitian sejarah your support. Soal essay tentang penelitian sosial, marketing mix literature review pdf, business plan template dry cleaning, college essays on manfred von richthofen with a good thesis.

Manajemen pemasaran kelas :b 1.

Benar, proposal ptk adalah tentang rencana penelitian tentang perbaikan. Contoh soal dan jawaban metodologi penelitian. Penelitian yangdilakukan guru di sekolah b. Prosedur penelitian yangharus dipatuhi guru pada saat melakukan penelitian c. Menurut saudara pentingkah mata kuliah riset pemasaran, jelaskan manfaat bagi saudara! Even when a student is a great essay writer, they might still not have enough time to complete all the writing assignments on time or do this well enough, especially when the exams are near. Oleh sebab itu, bagian prosedur operasional, termasuk penjelasan tentang metode dari sebuah proposal merupakan bagian yang harus diperhatikan. Rencana kegiatan penelitian yang diusulkan guru jawab: Yaitu bagian pendahuluan, isi proposal, dan bagian pelengkap penutup 5. We even have an urgent delivery option for soal essay tentang penelitian sejarah short soal essay tentang penelitian sejarah essays, term papers, or research papers needed within 8 to 24 hours. Working in soal essay tentang proposal penelitian the essay writing business we understand how challenging it may be for students to write high quality essays. Contoh soal proposal pilihan ganda. Harun heri trismiyanto, s.e., m.m.

Menurut saudara pentingkah mata kuliah riset pemasaran, jelaskan manfaat bagi saudara! Contoh soal dan jawaban metodologi penelitian. Yaitu bagian pendahuluan, isi proposal, dan bagian pelengkap penutup 5. Benar, proposal ptk adalah tentang rencana penelitian tentang perbaikan. Jelaskan perbedaan antara formal proposal dengan semi proposal!

Tugas 3 Darma Pala Langan Prof Dr Hapzi Ali Pemahaman Instrumen Dan R
Tugas 3 Darma Pala Langan Prof Dr Hapzi Ali Pemahaman Instrumen Dan R from image.slidesharecdn.com
Metode yang dipilih menentukan kualitas perolehan data dari lapangan. Materi ilmu pengetahuan sosial,,,, makalah pelajaran ips adalah salah satu pelajaran yang terdapat di sma / ma/ smk, negri dan swasta kelas 10. Soal essay sosiologi tentang penelitian sosial, free essay sonnet 29, statistical treatment of data thesis example pdf, lotf symbolism essay. Working in soal essay tentang proposal penelitian the essay writing business we understand how challenging it may be for students to write high quality essays. Jelaskan perbedaan antara formal proposal dengan semi proposal! Buatlah suatu contoh penelitian eksperimen dengan rancangan postest only controlled group, terutama sebutkan masalah, hipotesis, variabel, yang terdapat di dalam permasalahan/hipotesis tersebut, dan model analisis datanya. If you are misled and stalled while writing your essay, our professional college essay writers can help you out soal essay tentang proposal penelitian to complete an excellent quality paper. Proposal berbentuk formal terdiri atas tiga bagian utama, yaitu….

Jawaban anda benar, setiap proposal penelitian perlu menjelaskan rencana yang sistematis tentang cara/prosedur pelaksanaan penelitian.

Contoh soal dan jawaban metodologi penelitian. 40 soal & jawaban : Yaitu bagian pendahuluan, isi proposal, dan bagian pelengkap penutup 5. We can help with that too, crafting a course paper, a dissertation, etc. Working in the essay writing business we understand how challenging it may be for students to write high quality essays. Working in soal essay tentang proposal penelitian the essay writing business we understand how challenging it may be for students to write high quality essays. Metode pengumpulan, pengolahan data penelitian. By admin materi posted on june 6, 2021. Soal essay sosiologi tentang penelitian sosial, free essay sonnet 29, statistical treatment of data thesis example pdf, lotf symbolism essay. Soal teks proposal kelas 11 pilihan ganda dan esay. Materi ilmu pengetahuan sosial,,,, makalah pelajaran ips adalah salah satu pelajaran yang terdapat di sma / ma/ smk, negri dan swasta kelas 10. Rencana penelitian yang diusulkan guru untuk memperbaiki pembelajaran dikelasnya d. Contoh soal metode pengumpulan dan pengolahan data penelitian sosia l sosiologi sma/ma dan kunci jawaban.

Posting Komentar untuk "Soal Essay Tentang Proposal Penelitian / Proposal Penelitian / Latihan soal penelitian tindakan kelas ptk dan kunci jawaban."